91快活林

91快活林栏目

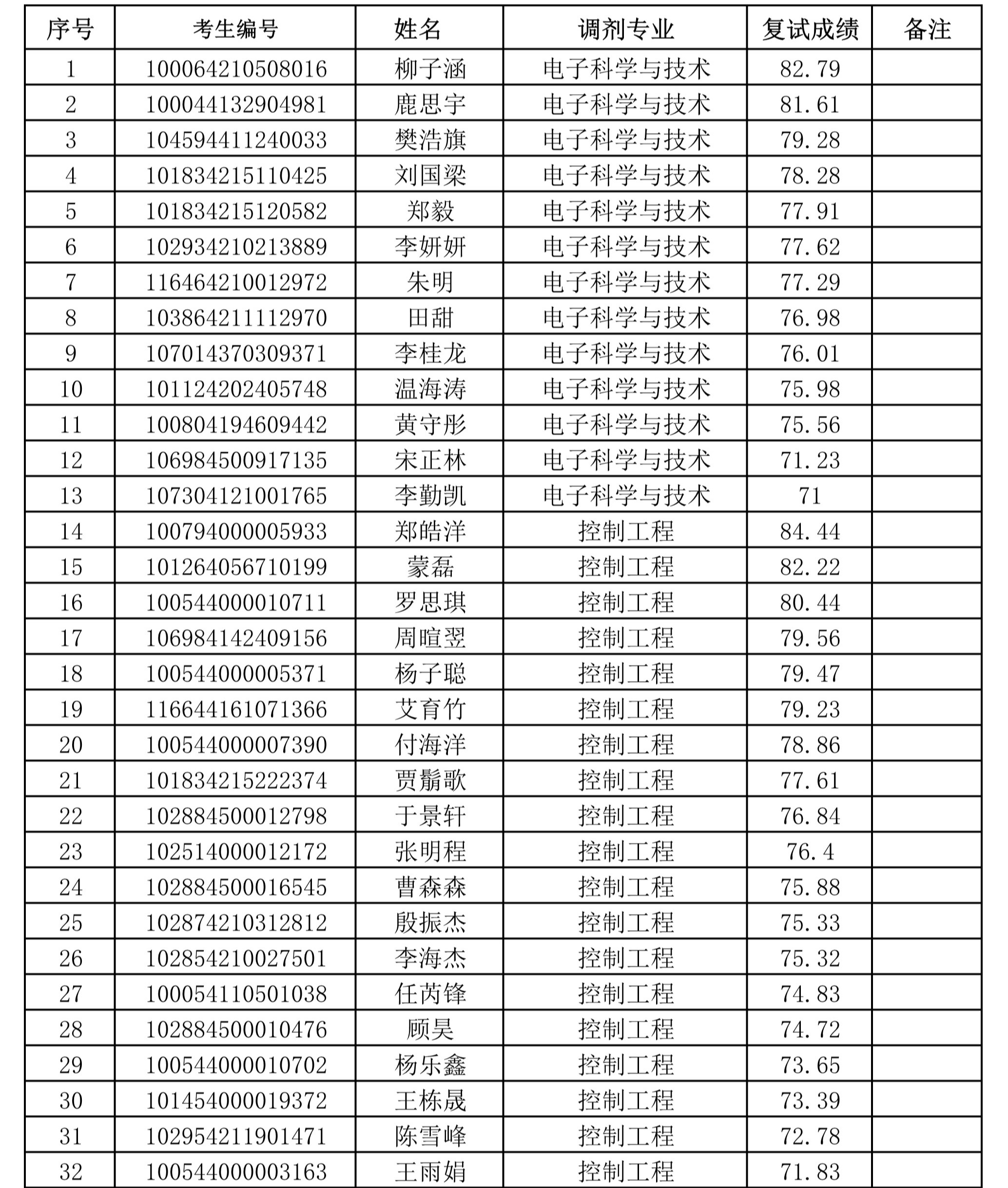
    电子与电气工程学院2024年攻读硕士学位研究生调剂志愿招生复试成绩公示


    发布日期:2024-04-16 点击数:

    根据《宁夏大学2024年硕士研究生招生复试工作方案》、《宁夏大学电子与电气学院2024年硕士研究生招生复试工作方案》有关规定,经学院复试工作小组审核,现将我院2024年攻读硕士学位研究生调剂志愿招生复试成绩予以公示。

    公示期:2024年4月16日-4月19日。

    考生如对复试成绩有异议,请拨打电话:(0951)2061974。

    电子与电气工程学院

    2024年4月16日